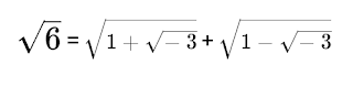
Christian Huygens a Gottfried Wilhelm Leibniz en 1702: (esta igualdad) «desafía todo el entendimiento humano»
Descubre más desde Tomajazz
Suscríbete y recibe las últimas entradas en tu correo electrónico.
Christian Huygens a Gottfried Wilhelm Leibniz en 1702: (esta igualdad) «desafía todo el entendimiento humano»
Suscríbete y recibe las últimas entradas en tu correo electrónico.
Política de privacidad Diseñado utilizando Magazine News Byte. Funciona con WordPress.